Sumatoria rara

Time Limit:
1 Sec
Memory Limit:
128Mb
Enviados:
580
Resuelto:
341

Descripción

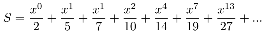
Dada la siguiente sumatoria:

Se te pide hallar el resultado dado un número $n$ y $x$.

Entrada

La entrada consistirá en $2$ números enteros $n$ ($1 \leq n \leq 8$) la cantidad de elementos a considerar de la sumatoria y $x$ ($1 \leq x \leq 4$) el valor a evaluar dentro de la sumatoria.

Salida

La salida consiste de un número con el resultado de la sumatoria, debe ser mostrado con $2$ decimales de precisión.

Ejemplo Entrada

Copy icon
4
1

Ejemplo Salida

Copy icon
0.94

Ayuda

  • En Java para imprimir con 2 decimales de precisión se debe usar System.out.printf("%.2f\n", variableSuma)
  • En Python para imprimir con 2 decimales de precisión se debe usar print("{:.2f}".format(variableSuma))